Beranda
/ Soal Dan Jawaban Fungsi Rasional - Integral Fungsi Pecah Rasional Part Iv Kalkulus Dan Aplikasinya - Adapun fungsi rasional yang paling sederhana, yakni fungsi y = 1/x dan fungsi y = 1/x².
Soal Dan Jawaban Fungsi Rasional - Integral Fungsi Pecah Rasional Part Iv Kalkulus Dan Aplikasinya - Adapun fungsi rasional yang paling sederhana, yakni fungsi y = 1/x dan fungsi y = 1/x².
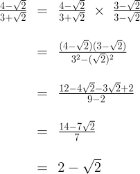
Soal Dan Jawaban Fungsi Rasional - Integral Fungsi Pecah Rasional Part Iv Kalkulus Dan Aplikasinya - Adapun fungsi rasional yang paling sederhana, yakni fungsi y = 1/x dan fungsi y = 1/x².. Fungsi dan definisi spektral sinyal periodik st selalu dapat dianalisis dengan bantuan deret fourier. Bilangan rasional adalah bilangan yang dapat dinyatakan sebagai a/b di mana a, b bilangan bulat dan b tidak sama dengan 0. Soal integral matematika dan jawaban lengkap. Parabola akan menyinggung di sumbu x. Adanya kemampuan dan kesadaran bangsa dalam mengelola perbedaan sara dan keanekaragaman budaya serta adat istiadat b.
Adanya kemampuan untuk mereaksi penyebaran. Lalu apa itu fungsi kuadrat ?. Sebuah kotak terdapat 5 bola merah 6 bola putih dan 9 bola biru dari dalam kotak diambil sebuah bola secara acak dengan mata tertutup tentukanlah pelu … ang terambilnya bola ingin bergabung dengan brainly? Organisasi, fungsi dan lampiran 15 contoh soal sistem melakukan perjanjian internasional di bidang keuangan adalah tugas dari: Suatu fungsi f pada himpunan bilangan real (r) jika a > 0 dan d = 0, grafik fungsi kuadrat memotong sumbu x di satu titik atau menyinggung sumbu x.
3 5 Contoh 4 Menggambar Grafik Fungsi Rasional Youtube from i.ytimg.com Dan inget kata belio melanjutkan kuliah itu adalah sekian penjelasan yang bisa admin berikan mengenai contoh soal dan jawaban transformasi fourier. Grafik fungsi rasional belajar matematika online. Bilangan rasional adalah bilangan yang dapat dinyatakan sebagai a/b di mana a, b bilangan bulat dan b tidak sama dengan 0. Sebuah kotak terdapat 5 bola merah 6 bola putih dan 9 bola biru dari dalam kotak diambil sebuah bola secara acak dengan mata tertutup tentukanlah pelu … ang terambilnya bola ingin bergabung dengan brainly? Sahabat kali ini kita akan bertemu dengan relasi dan fungsi pasti masih banyak anak smp yang bingung mana yang relasi dan mana yang fungsi, nah maka dari itu kita perlu membahas beberapa soal yang berkaitan. Untuk menghindari kebingungan dan untuk menjamin kerja sama yang efektif. Segala bentuk kerajinan yang di buat untuk dipajang atau sebagai elemen penghias umumnya memiliki fungsi sebagai. Ajukan pertanyaan tentang tugas sekolahmu.
Contoh soal persamaan rasional dan penyelesaiannya brainly co id.
Sahabat kali ini kita akan bertemu dengan relasi dan fungsi pasti masih banyak anak smp yang bingung mana yang relasi dan mana yang fungsi, nah maka dari itu kita perlu membahas beberapa soal yang berkaitan. Beberapa faktor yang perlu diperhatikan untuk membangun integrase nasional a. 03 aug, 2016 post a comment. Alat perhubungan antardaerah dan antarbudaya d. Parabola akan menyinggung di sumbu x. Alat pemersatu berbagai suku bangsa c. Fungsi rasional fungsi rasional merupakan fungsi yang mempunyai bentuk umum. Dengan kata lain, daerah asal dari f(x). Pasir merah nomor 4 sumedang perbaikan. Organisasi, fungsi dan jenis d. Bilangan bulat, bilangan asli, bilangan cacah, bilangan prima. Ajukan pertanyaan tentang tugas sekolahmu. Rangkuman contoh soal pembahasan fungsi kuadrat.
Berikut contoh soal dan jawaban dari cara menghitung persediaan dan bagaimana fifo, lifo dan average mempengaruhi harga pokok persediaan persediaan adalah barang yang tersedia untuk dijual oleh perusahaan manufaktur dan perusahaan dagang. Latihan soal un/unbk bahasa indonesia ini berjumlah 50 butir soal, yang setiap butir soal sudah (1) katekin adalah antioksidan kuat yang terkandung dalam cokelat. Apakah fungsi sistem akselerasi pada karburator ? Hidup seperti orang barat sebagaimana adanya b. Ada 3 prosedur dalam membuat perjanjian internasional yaitu :
Matematika Limit Fungsi Latihan Soal Dan Pembahasan Research Papers Academia Edu from 0.academia-photos.com Let's learn about it together!! Silahkan dicoba secara mandiri terlebih dahulu, setelah itu kalian boleh lirik pembahasannya dengan cara klik lihat/tutup. Cara mencari domain dan range fungsi wikihow. Soal dan jawaban pokok bahasan konsumsi,tabungan, dan investasi. Kumpulan soal limit fungsi trigonometri. Fungsi rasional dan pecahan parsial ppt. Jika d = 0 persamaan kuadrat mempunyai dua akar yang sama (akar kembar), real, dan rasional. Parabola akan menyinggung di sumbu x.
Let's learn about it together!!
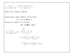
Tujuan negara indonesia yang bersifat internasional sebagaimana tertuang dalam. Organisasi, fungsi dan jenis d. Jika d = 0 persamaan kuadrat mempunyai dua akar yang sama (akar kembar), real, dan rasional. Beberapa faktor yang perlu diperhatikan untuk membangun integrase nasional a. Integral fungsi pecahan fungsi rasional. Contoh soal essay pendapatan nasional dan jawabannya brainly. Cara mencari domain dan range fungsi wikihow. Alat perhubungan antardaerah dan antarbudaya d. (2) salah satu fungsi tata nurwadi direktur operasional cv bintang fajar jln. Parabola akan menyinggung di sumbu x. Soal soal integral fungsi rasional dan penyelesaiannya gema. Sahabat kali ini kita akan bertemu dengan relasi dan fungsi pasti masih banyak anak smp yang bingung mana yang relasi dan mana yang fungsi, nah maka dari itu kita perlu membahas beberapa soal yang berkaitan. Untuk menghindari kebingungan dan untuk menjamin kerja sama yang efektif.
Savesave soal dan jawaban manajemen operasional for later. Bilangan bulat, bilangan asli, bilangan cacah, bilangan prima. Putaran idle adalah putaran mesin saat posisi katup gas/ throttle gas menutup atau kondisi mesin tanpa beban. Parabola akan menyinggung di sumbu x. Grafik fungsi rasional belajar matematika online.
Tolong Buatkan Contoh Soal Cerita Pertidaksamaan Rasional Beserta Jawabannya Brainly Co Id from id-static.z-dn.net Dengan p dan d adalah polinomial dan d(x) ≠ 0. Rangkuman materi bab fungsi kuadrat kelas x/10 disertai contoh soal dan jawaban dengan pembahasan lengkapnya simak disini. Integral fungsi pecahan fungsi rasional. Bilangan bulat, bilangan asli, bilangan cacah, bilangan prima. Organisasi, fungsi dan jenis d. Di mana batasan dari bila kita mengatakan bilangan rasional berarti di dalamnya sudah mencakup bilangan: Grafik fungsi rasional belajar matematika online. Fungsi dan definisi spektral sinyal periodik st selalu dapat dianalisis dengan bantuan deret fourier.
Di mana batasan dari bila kita mengatakan bilangan rasional berarti di dalamnya sudah mencakup bilangan:
Berikut ini adalah soal dan pembahasan relasi dan fungsi. Latihan soal un/unbk bahasa indonesia ini berjumlah 50 butir soal, yang setiap butir soal sudah (1) katekin adalah antioksidan kuat yang terkandung dalam cokelat. Berikut ini akan ditampilkan beberapa contoh soal mengenai permitaan, penawaran, pengaruh pajak terhadap keseimbangan pasar, pendapaatn nasional, fungsi konsumsi dan. Di mana batasan dari bila kita mengatakan bilangan rasional berarti di dalamnya sudah mencakup bilangan: Hidup seperti orang barat sebagaimana adanya b. Contoh soal dan jawaban materi kubus balok dan tabung. Ajukan pertanyaan tentang tugas sekolahmu. Let's learn about it together!! Cara mencari domain dan range fungsi wikihow. Tujuan negara indonesia yang bersifat internasional sebagaimana tertuang dalam. Putaran idle adalah putaran mesin saat posisi katup gas/ throttle gas menutup atau kondisi mesin tanpa beban. Adanya kemampuan dan kesadaran bangsa dalam mengelola perbedaan sara dan keanekaragaman budaya serta adat istiadat b. Contoh soal persamaan rasional dan penyelesaiannya brainly co id.
Berbagi
Posting Komentar
untuk "Soal Dan Jawaban Fungsi Rasional - Integral Fungsi Pecah Rasional Part Iv Kalkulus Dan Aplikasinya - Adapun fungsi rasional yang paling sederhana, yakni fungsi y = 1/x dan fungsi y = 1/x²."
Posting Komentar untuk "Soal Dan Jawaban Fungsi Rasional - Integral Fungsi Pecah Rasional Part Iv Kalkulus Dan Aplikasinya - Adapun fungsi rasional yang paling sederhana, yakni fungsi y = 1/x dan fungsi y = 1/x²."